非晶合金干式變壓器的特點及性能分析
非晶合金變壓器是用新型導磁材料——非晶合金來制作鐵心的新型節能變壓器。它比用硅鋼片作為鐵心的變壓器空載損耗下降70%以上,空載電流下降約80%,是目前節能效果較理想的配電變壓器,特別適用于農村電網和發展中地區等負載率較低的地方。
自20世紀80年代第1臺非晶合金變壓器在美國問世以來,非晶合金材料和非晶合金配電變壓器發展非常迅速,到目前為止,全世界約有200萬臺非晶合金變壓器在運行。

1 非晶合金材料及干式變壓器的特點
非晶合金是一種厚度僅為0.03mm的特殊的軟磁性材料。它是一定比例的合金原料在熔融狀態下經過超急速冷卻(冷卻速度 10-7℃/S )而成的帶狀金屬。與冷軋硅鋼片相比,非晶合金材料具有以下特點:①各向同性的軟磁材料;②單位鐵損低,比硅鋼片下降70%~80%;③厚度極薄,僅為0.03mm,填充系數低;④電阻率高,渦流損耗小;⑤制造工藝大大簡化,節能,無污染;⑥硬度大,切割要求高;⑦必須進行退火處理,易碎;⑧對機械應力敏感,受力后會影響性能。
由于非晶合金材料具有損耗極低的特點,特別適合用作配電變壓器的鐵心,以減少其空載損耗。但為了避免非晶合金鐵心因受力而影響其性能,結構上要進行特殊設計,這有別于常規變壓器。
非晶合金變壓器可分為油浸式和干式2種。非晶合金干式變壓器又有環氧澆注式和敞開式2種型式,以環氧澆注式為多。
非晶合金鐵心為矩形截面,開口式卷鐵心,在一個軛位有斷口,通過打開斷口套裝繞組,然后閉合斷口。鐵心一般為三相四框五柱結構。高低壓繞組相應做成矩形,低壓一般為箔繞式,高壓為線繞式,環氧樹脂澆注。非晶合金干式變壓器是一種新型的低損耗干式變壓器,由于承繼了傳統干式變壓器難燃阻燃、可靠性高、免維護等優點,因此非晶合金干式變壓器在配電變壓器市場有著廣闊的發展前景。
2 非晶合金干式變壓器設計與工藝要求
2.1 磁密選取
磁密設計對于非晶合金干式變壓器的成本、性能、噪聲等級都有決定性的作用,是非晶變壓器設計中最為關鍵的參數。由于非晶合金材料的特殊性,其飽和磁密小于1.5T,遠低于冷軋硅鋼片的飽和磁密(約為2.0T)。且非晶合金飽和后損耗和發熱十分嚴重,有被單方向磁化的可能。因此在電磁設計中,工作磁密必須合理選取。另外,變壓器的噪聲主要來源于鐵心材料的磁致伸縮引起的鐵心振動,非晶合金的磁致伸縮程度比硅鋼片高10%左右。為了降低噪聲,非晶合金鐵心必須取得與冷軋硅鋼片鐵心相同或相近的磁致伸縮,因此,非晶合金干式變壓器所選取的工作磁密就要求低于冷軋硅鋼片。非晶合金鐵心的截面相應增大約50%,鐵心質量增加約40%,這在一定程度上使變壓器噪聲及成本增加。
經研究表明,磁密每升高0.05T,其空載噪聲約增加2dB,如果制成變壓器成品,噪聲可增加3dB左右。因此,選擇適當的磁密是設計非晶合金干式變壓器的關鍵,既要考慮磁密對噪聲的影響,也要兼顧磁密對材料成本的制約,在符合噪聲要求的前提下盡量減少鐵心用量。根據目前非晶合金干式變壓器的制造經驗和制造水平,鐵心工作磁密選取在1.3以下較為適合,但必須和企業自身的工藝水平結合起來綜合考慮。
2.2 工藝系數
除單位損耗W/kg外,非晶合金鐵心設計的另外一個重要的參數就是單位磁化容量VA/kg,降低非晶鐵心的單位磁化容量VA/kg也可達到降噪的目的。由于非晶鐵心單位磁化容量VA/kg與單位損耗W/kg存在制約關系,要獲得較低的單位磁化容量VA/kg,就要結合企業的工藝水平來確定。在變壓器制造過程中,4個或8個鐵心框與繞組裝配時,需要打開開口接縫、套裝繞組和再連接接縫等。這些使鐵心受力的操作會導致裝配后損耗和噪聲比裸鐵心時有所增加。設計時,要考慮這個增加值,即工藝系數,它和鐵心與繞制的組合裝配方式以及工裝水平等諸多因素有關,企業的裝配工裝先進,裝配水平高,工藝系數就低,空載損耗較低。通過選取較高的單位損耗W/kg來獲得較低的單位磁化容量VA/kg,即在滿足空載損耗符合要求的前提下,把多余的“損耗性能”轉化成“磁化性能”,從而到達降低噪聲的目的。只有經過長時間的探索和制造,才能獲得與企業自身相符的準確的工藝系數。
2.3 矩形繞組
根據非晶合金變壓器的特殊要求,必須采取矩形繞組。矩形繞組與常規圓形繞組從設計、工藝制造上都有較大區別。由于導線對矩形模具的帖服性較圓形繞組差,要控制好矩形繞組的徑向尺寸。設計上應當采選取合適的繞制裕度,工藝上采用夾具整型,矩形繞組的徑向尺寸得到很好的控制。
2.4 聯接組選擇
由于非晶合金鐵心采用三相四框五柱式,為避免3次諧波在,,個旁柱上形成回路,聯接組采用Dyn11。
2.5 工藝控制
工藝控制是設計與制造非晶合金干變過程中的一個不可忽視的因素。目前,對于非晶合金干式變壓器三相 五柱式的裝配設計主要有2種裝配方式:倒裝式和平裝式。裝配的方式影響非晶合金鐵心接縫的質量,而鐵心接縫的質量會直接影響產品的噪聲。一般來說,平裝式對于非晶卷鐵心開口損壞最小,接縫質量最好,有效的避免碎片落入繞組內,但相對的工藝要求更高。
非晶合金鐵心開口接縫的處理一般遵循以下原則:①搭接長度12~16mm,不得小于8mm;②搭接面平整,無毛刺、尖角;③搭接后可用特殊膠水(3M膠水)或耐高溫膠封堵,以防止鐵心碎片產生和減小接縫處的震動。
2.6 機械強度
非晶合金干式變壓器結構上與傳統的干式變壓器差異較大,由于非晶合金材料的特殊性,受外加應力后,損耗會增加60%左右,噪聲也隨之增大,嚴重影響性能。因此,必須保證非晶合金鐵心不受外加應力。為了不讓鐵心過于受力,鐵心懸掛在繞組上,鐵心只承受自身的質量,沒有其他的壓緊力。結構上,器身上下左右采用 ? 形彎板結構的夾件裝配結構,繞組和鐵心由結構件支撐。所以,上下夾件的承受強度成了結構設計的關鍵。
通過力學分析,合理選取夾件的折彎板厚度及折彎尺寸,保證夾件承受的最大應力
小于夾件鋼材的許用應力
。
2.7 抗短路能力
由于非晶合金鐵心不能受外力,所以結構上的特殊性決定了非晶合金干式變壓器的受力不如傳統的變壓器好。所以,突發短路承受試驗成了非晶合金干式變壓器的生產制造及銷售推廣的技術“門檻”。
由于非晶合金帶材的特殊性決定了非晶合金變壓器鐵心選擇矩形截面,從成本和絕緣距離的角度考慮,高低壓繞組也設計成矩形。當變壓器發生短路時,承受短路電動力時高壓繞組徑向向外、低壓繞組徑向向內的排斥力。矩形繞組的受力不及圓形繞組均勻,承受短路電動力時容易受力變形。另外,非晶合金干式變壓器結構的特殊性,不是采用將鐵心作為主承重結構件的傳統設計方案,而是繞組軸向承重結構。這樣,矩形繞組的軸向和徑向所承受短路電動力的考驗要比圓形繞組嚴酷。
由于繞組軸向通過墊塊壓緊在上下夾件間,高壓繞組為環氧樹脂澆注剛體結構,足以承受鐵心質量和短路時產生的軸向電動力,軸向電動力的計算與驗證與圓形繞組相同。低壓繞組為銅箔繞制,烘爐固化,其剛性不如樹脂澆注。因此,矩形截面的箔繞低壓繞組承受短路時向內收縮的徑向電動力成了非晶合金干式變壓器承受短路時的最嚴酷點。
非晶合金干式變壓器繞組承受徑向短路電動力在結構及受力狀況上與圓形繞組差異較大,不能用圓形繞組的經驗公式計算和驗證。可以應用結構仿真分析軟件對矩形結構的繞組進行有限元分析,可以得出矩形繞組在承受短路電動力時,長邊方向的徑向變形最為嚴重。因此,在矩形繞組設計時應盡量接近正方形,這種情況下受力變形最小。在裝配過程中,可以在長寬方向加墊支撐物塊以增強其強度。
3 經濟效益和社會效益
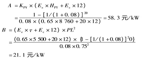
我國是世界上能源消費增長最快的國家,同時也是能源緊缺國家,節能是我國建設節約型社會的一項必不可少的國策。為滿足社會可持續發展和保護生態環境的需要,國家發展和改革委員會已將非晶合金變壓器列為重點推廣節電產品。當前對非晶合金變壓器經濟性分析有很多方法,分析的角度也不盡相同。根據電力行業標準DL/T 985—2005《配電變壓器能效技術經濟評價導則》提供的配電變壓器能效的技術經濟分析計算方法中提出的總擁有費用法TOC(Total Owning Cost)的概念,能夠全面、充分表達所購變壓器的綜合費用,它綜合了變壓器的初始費用和等價現值的損耗費用。

式中
為配電變壓器的綜合能效費用,元;CI為配電變壓器設備初始費用,元;Po為變壓器額定空載損耗,kW;Pk為變壓器額定負載損耗,kW;A為單位
空載損耗的等效初始費用,元/kW;B為單位負載損耗的等效初始費用,元/kW。
以機械企業為例,假設使用年限20年,貼現率為8%,年帶電時間為8760h,單位月容量費用為20元/kW,電量電費為0.65元/kW,年最大負載時間為5500h,負載率為0.75,則

以315kVA為例,對SCBH15型非晶合金干式變壓器與SCB9型普通干式變壓器的性能比較情況見表1。

與SCB9型普通干式變壓器相比,同等規格的SCBH15型非晶合金干式變壓器的價格要高出約20000元(參考價)。由此可計算出兩者的TOC值差值
在壽命期內,使用非晶合金干式變壓器替換同規格普通干式變壓器,可節約費用19170元。而一般干式變壓器的運行壽命為30年,經濟效果更好。綜合所述,非晶合金干式變壓器經濟性顯著。
在能源日益緊張的今天,人們會更加重視能源的節約和合理使用。“十一五”期間,我國經濟社會發展的主要目標之一是單位國內生產總值能源消耗降低20%左右。前不久,國家發展和改革委員會制定的中長期節能規劃中規定,從2006年起要在用電設備上推行強制的能效標準、節能認證與能效標示等措施,這表明節能工作已經刻不容緩。
目前我國輸配電損耗占電力產量的比重高達7%,這種狀況使電力利用率降低,造成巨大的電力浪費。提高輸配電設備的運行效率,降低變壓器損耗已成節能工作的當務之急。配電變壓器作為電力傳輸系統的重要設備,由于使用量大、運行時間長,具有很大的節能潛力。隨著我國經濟的發展,基礎建設的擴張,近年來配電變壓器的需求量和產量有較大增長。在我國,配電變壓器的生產企業有1000多家,年產量已達5000萬kVA左右,占全部變壓器年產量的1/3左右。近年來全國電力負荷年增長10%以上,相當于每年新增約37萬臺315kVA配電變壓器,若全部采用節能的非晶合金變壓器,一年可節省電量24.6億kWh,超過秦山核電站2003年全年發電量。 如將這些電量折算成能耗和廢氣排放,相當于每年減少煤耗101萬t,減少二氧化碳排放203萬t。非晶合金變壓器是名副其實的“節能先鋒”。





